<

Tan 105 Tan 15

<
Hasil Dari Tan 105 Tan 15 Brainly Co Id

Hasil Dari Tan 105 Tan 15 Brainly Co Id

Jika Tan 15 M Maka Nilai Dari Tan 165 Tan 105 1 Tan 165 Tan 105 Brainly Co Id

Jika Tan 15 M Maka Nilai Dari Tan 165 Tan 105 1 Tan 165 Tan 105 Brainly Co Id

Nilai Cot 105 Derajat Tan 15 Derajat A 7 4 3 B 7 4 C Akar 37 4akar3 D 7 Brainly Co Id

Nilai Cot 105 Derajat Tan 15 Derajat A 7 4 3 B 7 4 C Akar 37 4akar3 D 7 Brainly Co Id

Jika Tan 15 A Tentukan Nilai Dari Tan225 Tan 285 Tan 195 Tan 105 Tolong Bantu Ya Buat Brainly Co Id

Jika Tan 15 A Tentukan Nilai Dari Tan225 Tan 285 Tan 195 Tan 105 Tolong Bantu Ya Buat Brainly Co Id

Nilai Cot 105 Tan 15 Adalah Brainly Co Id

Nilai Cot 105 Tan 15 Adalah Brainly Co Id

Trigonometri Nilai Dari Cot 105 Tan 15 Youtube

Trigonometri Nilai Dari Cot 105 Tan 15 Youtube

Trigonometri Nilai Dari Cot 105 Tan 15 Youtube

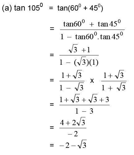
Nilai Dari Tan 105 Adalah Youtube

Nilai Dari Tan 105 Adalah Youtube

Kumpulan Soal Trigonometri Dan Pembahasannya

Kumpulan Soal Trigonometri Dan Pembahasannya

Nilai Dari Cos 15 Sin 15 Tan 105 Cos 105 Sin 105 Beserta Caranya Brainly Co Id

Nilai Dari Cos 15 Sin 15 Tan 105 Cos 105 Sin 105 Beserta Caranya Brainly Co Id

Jika Tan 15 A Nilai Dari Tan 225 Tan 105 Tan 195 Tan 105 Adalah Brainly Co Id

Jika Tan 15 A Nilai Dari Tan 225 Tan 105 Tan 195 Tan 105 Adalah Brainly Co Id

1 Prove That Cot 105 Tan 105 23 2 Cos 135 Cos 120 Cos 135 Cos 120 3 22 Prove3 Math 11603711 Meritnation Com

1 Prove That Cot 105 Tan 105 23 2 Cos 135 Cos 120 Cos 135 Cos 120 3 22 Prove3 Math 11603711 Meritnation Com

Matematika Trigonometri Kerjakan Dengan Langkah Dan Cara No 3 Dan 4 Brainly Co Id

Matematika Trigonometri Kerjakan Dengan Langkah Dan Cara No 3 Dan 4 Brainly Co Id

Jika Tan 15 A Nilai Dari Tan 225 Tan 105 Tan 195 Tan 105 Adalah Brainly Co Id

Jika Tan 15 A Nilai Dari Tan 225 Tan 105 Tan 195 Tan 105 Adalah Brainly Co Id

Trigonometry

Trigonometry

Trigonometri Nilai Dari Cot 105 Tan 15 Youtube

Trigonometri Nilai Dari Cot 105 Tan 15 Youtube

Nilai Tan 195 Tan 105 Brainly Co Id

Nilai Tan 195 Tan 105 Brainly Co Id

Kumpulan Soal Trigonometri Dan Pembahasannya

Kumpulan Soal Trigonometri Dan Pembahasannya

Rumus Jumlah Dan Selisih Dua Sudut Materi Lengkap Matematika

Rumus Jumlah Dan Selisih Dua Sudut Materi Lengkap Matematika

Can Some One Prove These 1 Cot 105 Tan 105 2aˆs3 2 Cos 15 Sin 15 Math Trigonometric Functions 1158166 Meritnation Com

Can Some One Prove These 1 Cot 105 Tan 105 2aˆs3 2 Cos 15 Sin 15 Math Trigonometric Functions 1158166 Meritnation Com

Rumus Jumlah Dan Selisih Dua Sudut Materi Lengkap Matematika

Rumus Jumlah Dan Selisih Dua Sudut Materi Lengkap Matematika