<

1 1 3 X 1 2 3 5

<
A 5 1 3 3 1 5 1 5 8 B 4 3 8 2 5 2 3 5 C 1 1 2 3 3 8 3 1 4 D 2 1 7 Brainly Co Id

A 5 1 3 3 1 5 1 5 8 B 4 3 8 2 5 2 3 5 C 1 1 2 3 3 8 3 1 4 D 2 1 7 Brainly Co Id

Hasil Dari 2 2 3 X 1 5 8 1 3 4 Hasil Dari 2 2 3 X 1 5 8 1 3 4 Adalah Dengan Caranya Brainly Co Id

Hasil Dari 2 2 3 X 1 5 8 1 3 4 Hasil Dari 2 2 3 X 1 5 8 1 3 4 Adalah Dengan Caranya Brainly Co Id

3 5 7 X 1 1 4 X 1 1 5 3 1 5 X 2 1 4 X 3 2 3 Tolong Kk Brainly Co Id

3 5 7 X 1 1 4 X 1 1 5 3 1 5 X 2 1 4 X 3 2 3 Tolong Kk Brainly Co Id

1 1 3 5 1 1 6 2 1 3 6 3 1 3 3 2 3 4 2 2 8 4 1 3 7 2 2 8 5 1 2 9 2 2 5 Brainly Co Id

1 1 3 5 1 1 6 2 1 3 6 3 1 3 3 2 3 4 2 2 8 4 1 3 7 2 2 8 5 1 2 9 2 2 5 Brainly Co Id

4 2 1 2 X 1 1 3 5 1 3 4 2 5 X 2 4 5 3 2 2 8 1 1 2 X 3 3 4 2 1 8 X 17 20 1 3 5 X Brainly Co Id

4 2 1 2 X 1 1 3 5 1 3 4 2 5 X 2 4 5 3 2 2 8 1 1 2 X 3 3 4 2 1 8 X 17 20 1 3 5 X Brainly Co Id

Tentukan Hasil Perkalian Berikut A 3 1 4 X 1 2 5 B 2 2 3 X 5 3 4 C 4 1 3 X 1 5 6 D 1 Brainly Co Id

Tentukan Hasil Perkalian Berikut A 3 1 4 X 1 2 5 B 2 2 3 X 5 3 4 C 4 1 3 X 1 5 6 D 1 Brainly Co Id

Tentukan Hasil Perkalian Berikut A 3 1 4 X 1 2 5 B 2 2 3 X 5 3 4 C 4 1 3 X 1 5 6 D 1 Brainly Co Id

Hasil Dari 3 1 5 1 2 5 1 3 4 Brainly Co Id

Hasil Dari 3 1 5 1 2 5 1 3 4 Brainly Co Id

1 2 2 3 X 1 1 2 4 5 2 1 2 X 1 1 3 2 9 10 6 3 1 2 3 2 1 2 3 5 X 1 12 7 Brainly Co Id

1 2 2 3 X 1 1 2 4 5 2 1 2 X 1 1 3 2 9 10 6 3 1 2 3 2 1 2 3 5 X 1 12 7 Brainly Co Id

1 2 3 1 4 2 2 4 X 3 2 3 3 4 X 4 5 4 1 2 3 4 5 1 3 Brainly Co Id

1 2 3 1 4 2 2 4 X 3 2 3 3 4 X 4 5 4 1 2 3 4 5 1 3 Brainly Co Id

1 2 2 7 X 3 2 5 2 3 2 5 X 2 3 5 3 1 7 9 2 4 5 4 1 1 6 2 1 3 Make Cara Brainly Co Id

1 2 2 7 X 3 2 5 2 3 2 5 X 2 3 5 3 1 7 9 2 4 5 4 1 1 6 2 1 3 Make Cara Brainly Co Id

1 5 6 1 4 5 12 2 3 4 3 1 1 6 3 1 6 1 2 1 3 5 7 4 2 2 3 1 4 1 3 4 5 1 2 3 2 Brainly Co Id

1 5 6 1 4 5 12 2 3 4 3 1 1 6 3 1 6 1 2 1 3 5 7 4 2 2 3 1 4 1 3 4 5 1 2 3 2 Brainly Co Id

Solved 1 10 Y 2 5 1 5 Y 3 10 X 20 3 5 2 X 5 Chegg Com

Solved 1 10 Y 2 5 1 5 Y 3 10 X 20 3 5 2 X 5 Chegg Com

Diketahui F 2 3 Dengan Daerah Asal 1 2 3 4 5 Maka Himpunan Daerah Hasil Adalah Brainly Co Id

Diketahui F 2 3 Dengan Daerah Asal 1 2 3 4 5 Maka Himpunan Daerah Hasil Adalah Brainly Co Id

Diketahui Sistem Persamaan Linear 1 2 X 2 2 3 Y 3 5 Dan 1 3 2x 2 1 4 Y 1 1 Brainly Co Id

Diketahui Sistem Persamaan Linear 1 2 X 2 2 3 Y 3 5 Dan 1 3 2x 2 1 4 Y 1 1 Brainly Co Id

1 2 3 2 1 2 3 5 1 2 7 Brainly Co Id

1 2 3 2 1 2 3 5 1 2 7 Brainly Co Id

Solved Find The Value Of X In Each Of The Following X 1 Chegg Com

Solved Find The Value Of X In Each Of The Following X 1 Chegg Com

Ditentukan F X 1 3x Dengan Daerah Asal 3 2 1 0 1 2 3 Daerah Hasil Fungsi Tersebut Brainly Co Id

Ditentukan F X 1 3x Dengan Daerah Asal 3 2 1 0 1 2 3 Daerah Hasil Fungsi Tersebut Brainly Co Id

Example 18 Solve 5 X 1 1 Y 2 2 6 X 1 3 Y 2 1 Examples

Example 18 Solve 5 X 1 1 Y 2 2 6 X 1 3 Y 2 1 Examples

Tentukan Himpunan Penyelesaian Pertidaksamaan Berikut A 2 3 X 2 1 1 3 2x 1 B X 3 Brainly Co Id

Tentukan Himpunan Penyelesaian Pertidaksamaan Berikut A 2 3 X 2 1 1 3 2x 1 B X 3 Brainly Co Id

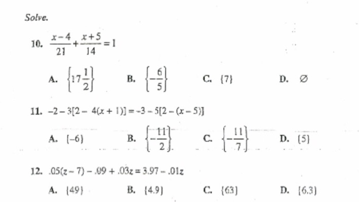
Solved Solve X 4 21 X 5 14 1 2 3 2 4 X Chegg Com

Solved Solve X 4 21 X 5 14 1 2 3 2 4 X Chegg Com